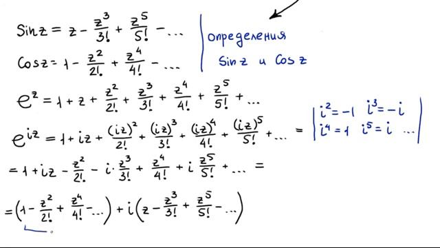
Тригонометрическое уравнение cosz2 а при чём тут формула Эйлера [get.gt]

Иконка канала канал коал
1 подписчик
12+
2 просмотра
12 часов назад
12+
2 просмотра
12 часов назад

, чтобы оставлять комментарии